
Quadratic and Cubic Equations
by
Laura Kimbel
Investigation 3
We are now becoming quite familiar with graphs that look like
for different values of a, b, and c. Let's analyze the properties and characteristics of our constant term, c, in this equation and how it affects the roots of our quadratic equation?
First, let's see what happens to our quadratic function as c changes.
We can see above that very little changes in our graph as c changes. In fact, c does nothing to change the shape of our parabola. However, there is a vertical shift that results from the change in c. Therefore, if we were to trace 1 point on our graph as c changes, the locus of points would produce a vertical line. Let's explore how the value of c affects the roots of our function.
Let's set a and b equal to 1, and let our c change depending on our x-value. To do this, replace c with y and graph the function
. This will give us some insight into how c affects the roots of our quadratic function since the y-axis in our graph now represents the value of c at any given root.

This animation above tells us that the intersection points of our horizontal line with our parabola, represents the possible roots of our function. As you will see, there is a possibility of 2 roots, 1 root, or no roots. The line intersects our parabola at all negative values of c all the way up to the maximum we can see in the graph. At the maximum, there is only 1 point of intersection, and therefore only 1 root. Above our maximum, we have no intersection points and therefore no roots. Let's find the maximum of our parabola.

Since the y-axis represents the value of c, we can see that our maximum is obtained at the value of c = 1/4. When c < 1/4, we have 2 roots. When c > 1/4, we have no roots. When c = 1/4, we have our maximum (1 point of intersection) and 1 root. This conclusion can also be found by using the Discriminant. Recall,
![]()
When the discriminant is greater than 0, we have 2 roots.
When the discriminant is less than 0, we have 0 roots.
When the discriminant equals 0, we have 1 root.
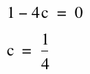
From this, we see that

So again, when c = 1/4, we have 1 root, when c < 1/4 we have 2 roots, and when c > 1/4 we have no roots.